该方法为标准品或者样品直接进样的色谱图及应用数据;如想了解更详细的信息,请参考“标准资料”栏目中(如有)关联技术资料,或者联系色谱世界网站官方客服。
标准谱图
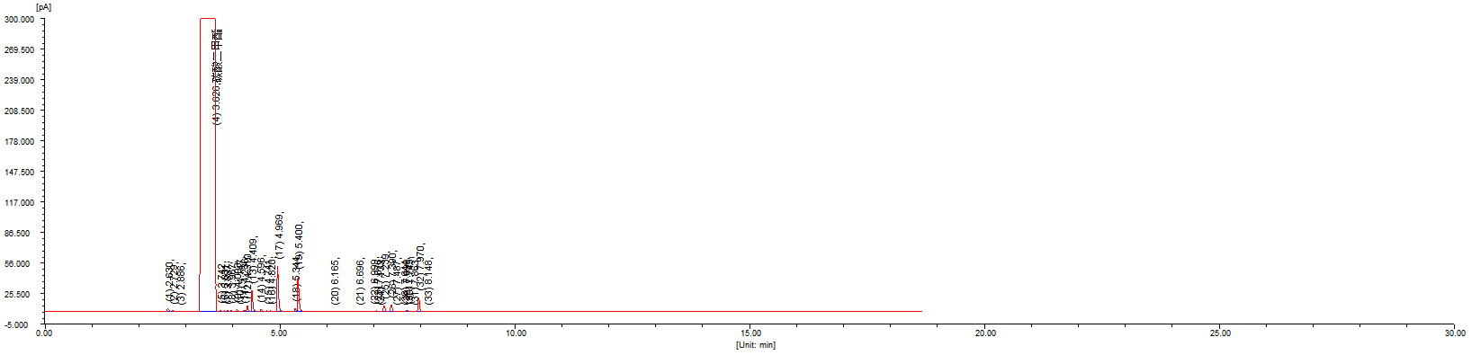
碳酸二甲酯的分离谱图(RBX-5)
色谱峰
碳酸二甲酯 (3.626)
3
碳酸二甲酯的分离谱图(RBX-624)
色谱峰
(7.840)
2
色谱仪器
GC-9720Plus
厂家:浙江福立分析仪器股份有限公司
1 福立GC9720Plus气相色谱仪
2 FID宽量程检测器
3 反控色谱工作站
