该方法为标准品或者样品直接进样的色谱图及应用数据;如想了解更详细的信息,请参考“标准资料”栏目中(如有)关联技术资料,或者联系色谱世界网站官方客服。
标准谱图
样品谱图
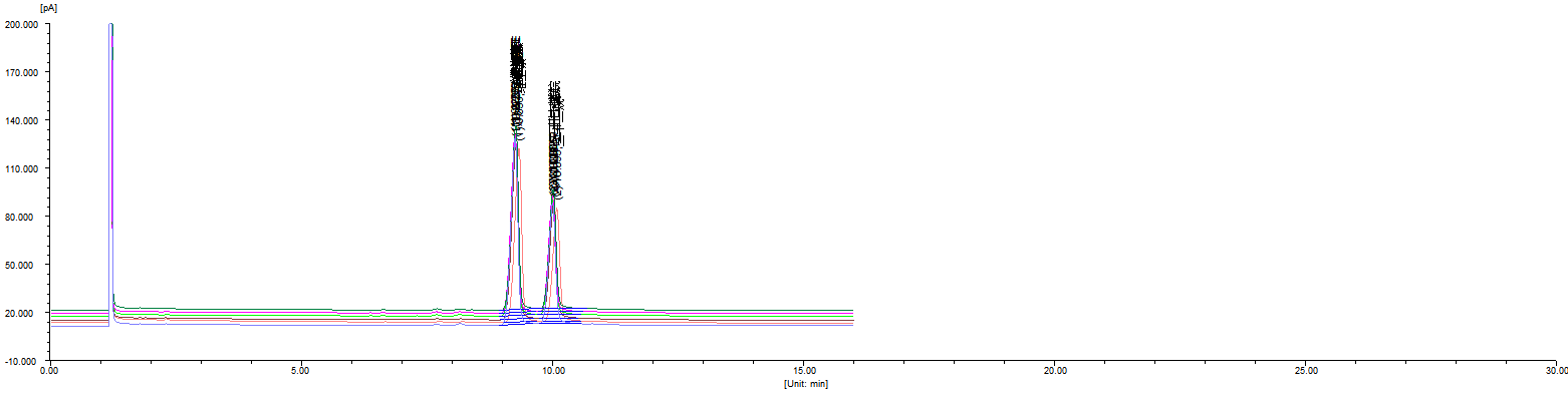
对照品溶液六针的多重谱图
色谱峰
维生素E(9.260) 0
三十二烷(10.008) 0
对照品溶液六针的多重谱图
色谱峰
维生素E (9.260)
0
三十二烷 (10.008)
0
对照品溶液六针的多重谱图
色谱峰
维生素E(9.260) 0
三十二烷(10.008) 0
色谱仪器
GC-9720Plus
厂家:浙江福立分析仪器股份有限公司
1 福立GC9720Plus气相色谱仪,宽量程FID检测器
2 反控色谱工作站
3 FL1092T自动进样器
试剂及材料
色谱柱:CBX-1/30m*0.32mm*0.25μm
