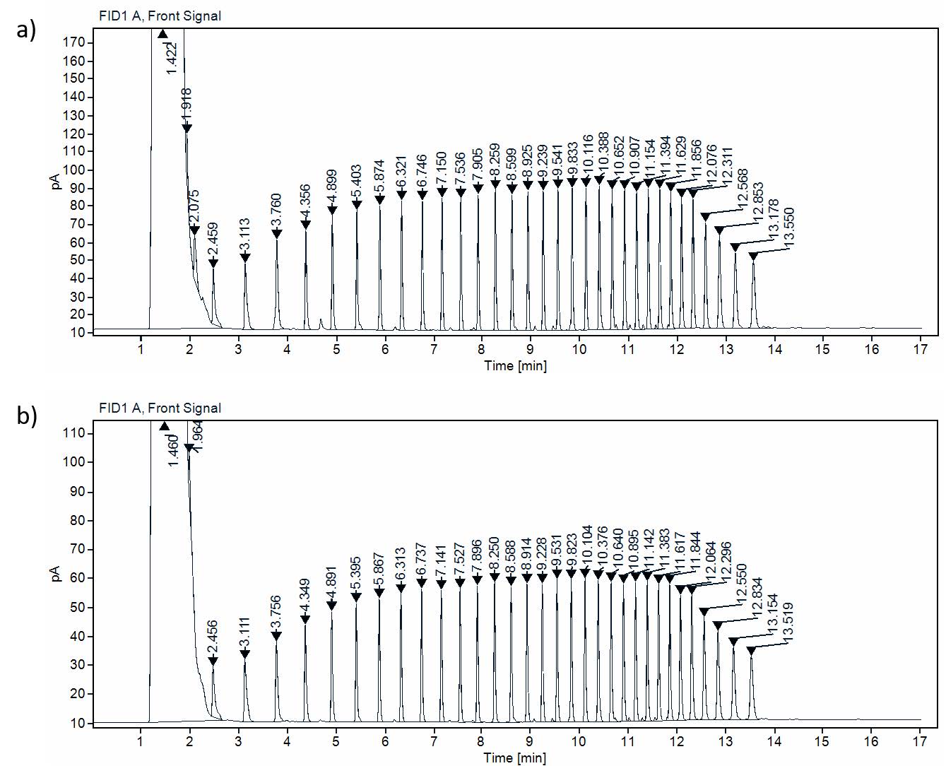
连续进样8天,进样40针,对比色谱柱的变化情况。试验发现色谱柱在40针进样后性能无变化。
标准谱图
色谱仪器
GC9790Plus
厂家:浙江福立分析仪器股份有限公司
分别在福立9790plus、安捷伦仪器和岛津仪器上验证
9790plus
Agilent 7890B GC FID system
Shimadzu GC-2030 FID system
试剂及材料
色谱柱信息如下:
CBX-5 AB-010-06502 12m0.32mm0.10μm
